Опубликованы адреса убежищ в центре Самары
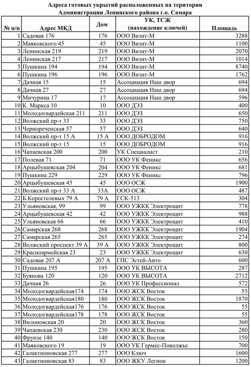
Публикуем полный список адресов укрытий Ленинского района Самары
Фото: tvsamara.ru / Анастасия Темникова
Власти Самары опубликовали список укрытий, где жители могут спрятаться в случае ракетной опасности или угрозы атаки беспилотных летательных аппаратов.
Напомним, в пятницу, 27 февраля, Самарская область впервые столкнулась с объявлением реальной ракетной опасности: по всему региону завыли сирены. Сигнал застал врасплох граждан. В школах и детских садах реакция на угрозу оказалась разной: где-то детей экстренно уводили, а где-то продолжали уроки как ни в чем не бывало.
Администрация опубликовала перечень адресов в Ленинском районе, где находятся защитные сооружения и укрытия. Список включает подвалы домов, приспособленные для временного пребывания людей во время чрезвычайных ситуаций.
Жителям рекомендуют заранее ознакомиться с расположением укрытий и в случае объявления опасности действовать без паники, следуя указаниям сотрудников МЧС и представителей администрации.
Для других районов Самары информация пока уточняется.
Фото: документ на сайте Администрации г.о. Самара
Фото: документ на сайте Администрации г.о. Самара
Фото: документ на сайте Администрации г.о. Самара





